Get Your
Perfect IB Resume.
And Your Money Back.
Arrive with a decent resume and leave with a perfect one. Post-workshop, you'll be perfectly equipped to handle any IB application, get past automated screens, and land more interviews than you ever have before.
- Understand why your resume looks fine to you but wrong to analysts & recruiters
- No banking experience? Learn to rewrite what you have so recruiters stop caring
- Free guides tell you the rules – this challenge fixes your resume live in just 3 hours
Registration closes in
















































The 6-Second Screening Reality
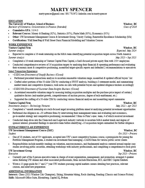
Recruiters spend less than six seconds on your resume. If it doesn't follow the precise formatting standards of Investment Banking, it's discarded before they read your GPA.
6s
Avg. screen time
Your resume gets six seconds. If the format doesn't match IB standards, it's gone before they read your GPA.
75%
Auto-rejected by ATS
Filtered by automated systems before a human ever sees them.
0
Second chances
IB recruiting is a one-shot game. No callbacks, no follow-ups.
What you'll get at the workshop
A Submission-Ready Resume
You arrive with your current resume. You leave with a polished, reformatted version engineered to pass automated screens and catch a recruiter's eye in under 6 seconds.
The Bullet-Writing Framework
The exact formula top candidates use to turn any experience-even non-finance ones-into quantified, sophisticated, and action-drive bullet points that signal IB readiness.
Live Expert Feedback
Real-time review of your actual resume in a small-group setting. Specific notes on what to fix and why, from people who've been on the other side of the desk.
Don't take our word for it.
My friend convinced me to attend this with him, so honestly I wasn't expecting much. I signed up thinking my resume was fine. Thirty minutes in, I realized why I hadn't been hearing back. They broke down exactly why my bullets weren't working, rewrote them live, and showed me the framework so I could do it myself. In just an hour, it completely changed how I think about positioning my experience. I walked out with a polished resume ready to send out — something I'd been putting off for weeks. Wish I'd done this sooner.
The Most Results-Oriented Finance Workshop I've Ever Attended
As an undergrad who's part of multiple finance clubs and mentorship programs, I've sat through my fair share of workshops, info sessions, and networking events. I can confidently say the Resume Workshop by FR Consulting was the best one. Most workshops give you general advice, tips, and tricks. This one gave me the what, the why, and exactly how to get the end result — step by step. I walked out with my resume already reworked and completely clear on what to act on next.

Just got out of the resume workshop…….. my only regret is not finding this sooner. Every weakness in my resume, plus problems I didn't even know I had, were addressed with clarity and detail. I literally have never had this much confidence in my resume. I truly loved this workshop.
How It Works
The Commitment
A $30 fully-refundable deposit to reserve your seat. Not a fee. Not a purchase. A signal that you're here to build, not browse. A deposit to secure your seat and ensure a high-caliber, committed cohort.
The 3-Day Sprint
Complete the workshop's actionable milestones over 3 hours. Real exercises, live Q&A.
The Reimbursement
Complete the milestones and your $30 is returned in full. We aren't here for your deposit — we're here to build your career.
Why the Commitment Matters
Premium workshops don't offer free seats — not because they can't, but because free seats produce empty chairs and distracted attendees. By requiring a commitment, we ensure that every person in your session is here to do the work. This isn't a fee. It's a filter for the caliber of your peers.
Questions before you register.
The concepts we teach are the industry gold standard. And to the extent that IB is the most competitive position within the capital markets, any and all edits we discuss during the workshop most certainly apply to recruitment for roles like Private Equity, Long-only Asset Management, Hedge Funds, Corporate Development, etc.
Refunds are processed within 3-5 days following the compliance audit at the end of the challenge. You will receive an email once your reimbursement has been initiated. If you don't receive one within the relevant timeframe, please contact support@frfinanceconsulting.com
The live session is where the magic happens — you get real-time feedback on your resume from our team. We strongly recommend attending live. A replay will not be available.
Absolutely. The earlier you start, the better positioned you'll be when recruiting kicks off. We'll show you how to frame any experience — campus clubs, part-time jobs, coursework — in a way that signals IB readiness.
Templates give you formatting. We teach you the what, how & why of resume-building – what it should look like, how it should sound, and why those are important. The workshop will give you a resume that make recruiters stop scrolling, instead of one that makes their eyes roll.
We cap registration to keep it small enough for live feedback. You won't be lost in a 500-person webinar — this is a working session where you'll get specific, actionable notes on your resume.





